Hudbay - U.M. Constancia
SERVICIO DE EMS E INGENIERÍA PARA LA IMPLEMENTACION DE 04 SILOS DE EMULSION DE 120 TN
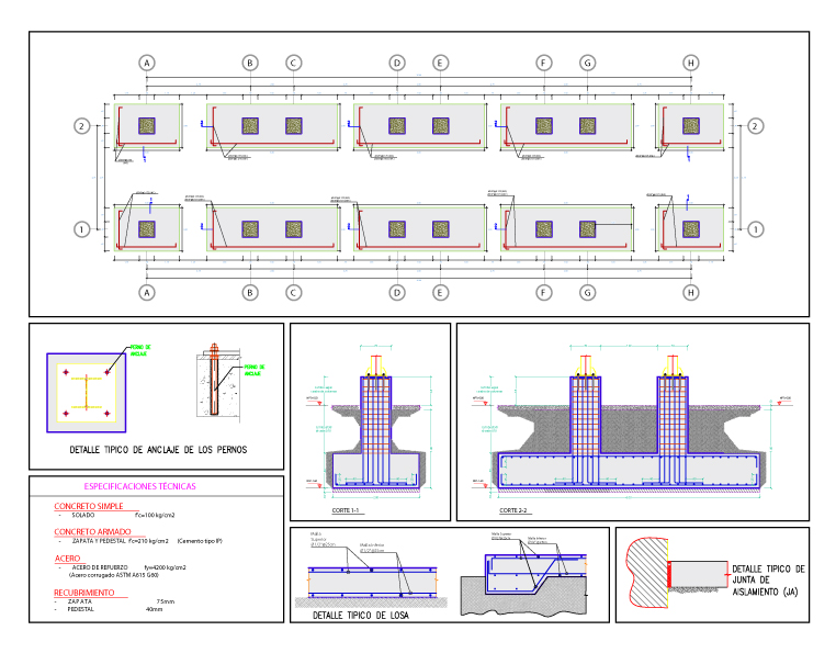
Estudio de mecánica de suelos e ingeniería de cimentaciones para cuatro silos de emulsión de 120 toneladas.
PRODISE S.R.L.
¿Interesado? Contáctanos
- Avenida Dolores 1067 - JLBYR, Frente a la Municipalidad JLBYR , Arequipa - Perú
- (+51) 992 878 012
- gerencia@vulcanicperu.com